
Magnitud: 4.0 (Mw) - Profundidad: 39.1 (km)

Intensidad Espectral
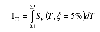
De acuerdo con Housner (1952), el espectro de pseudo-velocidad,
, puede ser utilizado dentro de los estudios de análisis sísmicos como una herramienta para medir la severidad de un terremoto. El propuso, como medida de la intensidad, el área bajo del espectro de pseudo-velocidad en el rango de periodo 0.1 a 2.5 seg correspondiente a un amortiguamiento del 5%.
En esta sección se muestra el cáculo de la intensidad de Housner, IH para la componente norte-sur (NS) y este-oeste (EW) y la suma vectorial de los registros de aceleración que tuvieron valores superiores a los 5 cm/s2.
El siguiente mapa muestra la IH en cada sitio de registro. Se grafica la suma vectorial de la tabla anterior.
Referencia:
Housner, G. W., “Spectrum Intensities of Strong-Motion Earthquakes,” Proc. of the Symposium on Earthquakes and Blast Effects on Structures,Earthquake Engineering Research Institute, 1952.